Aircraft-based Tropical Cyclone Surface Wind Analysis

Latest Image | Archive | About
Time of This Image: 2021-08-17 00:00
Multiplatform Tropical Cyclone Kinetic Energy and Intensity

Loop | Latest Image | Archive | About
Time of This Image: 2021-08-16 18:00
Multiplatform Tropical Cyclone MSLP and Maximum Winds

Latest Image | Archive | About
Time of This Image: 2021-08-16 18:00
Dvorak Fix-Based Wind Radii (Text; ATCF ANAL fixes)
Please use the links below to view the text data for this product.
Multiplatform Satellite Surface Wind Analysis (Experimental)

Latest Image | Archive | About
Time of This Image: 2021-08-20 09:00
Ocean Heat Content & Forecast Track

Latest Image | Archive | About
Time of This Image: 2021-08-16 18:00
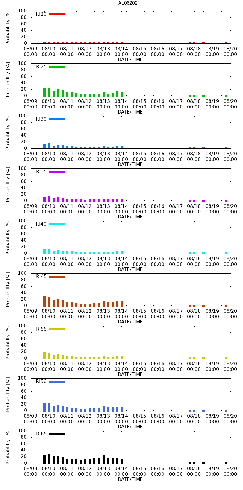
RIPA Storm Table
Please use the links below to view the text data for this product.
Latest Text File | | Archive | About
Time of This Image: 2021-08-19 18:00
AMSU Radial/Height Cross Sections


Latest Image | Archive | About
Time of This Image: 2021-08-19 22:59













