Diagnostics
Machine-Learning Forecast Uncertainty Estimates
Global Models
GFS Model Data
ECMWF Model Data
Hurricane Models
HFSA Model Data
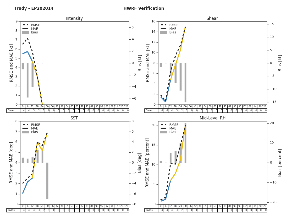
HWRF Model Data
HMON Model Data
CTCX
Artificial Intelligence Models
ECMWF AIFS Model Data
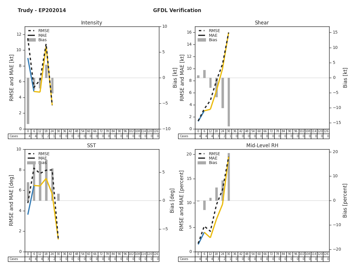
GFDL Model Data
GFDL Precipitation & Sea Surface Temperature

Loop | Latest Image | Archive | About
Time of This Image: 2014-10-18 00:00
GFDL 850 hPa Vorticity & Vertical Motion

Loop | Latest Image | Archive | About
Time of This Image: 2014-10-18 00:00
GFDL 10m Wind Speed & Sea Level Pressure

Loop | Latest Image | Archive | About
Time of This Image: 2014-10-18 00:00






